[당신의 뇌는 최적화를 원한다] 라는 책에서 보면 저자는 활력의 차이는 수면에서 나온다고 적고 있습니다.
활력이 넘치고 열정덕으로 활동하는 행동파와 그렇지 않은 사람의 차이는 "수면"에서 생긴다고 합니다. 밤에 숙면을 취하면서 낮에 생긴 피로를 완전히 해소한다면 매일 지치지 않고 힘차게 활동할 우 있는 것입니다. 수면은 인간의 가장 기본적인 활동이기 때문에 잠을 제대로 자지 못하는 것은 몸과 생활을 망가트리는 일이 될 것입니다.





그만큼 잠의 중요성이 크다고 볼 수 있습니다. 현대인들은 많은 주변 환경과 스트레스 등의 요인으로 잠을 잘 자지 못하는 경우가 많습니다. 많은 사람들이 불면증을 호소하고 있는 실정입니다.
불면증을 해소하고 잠을 잘 자는데 도움을 줄 수 있는 것들이 여러가지가 있겠지만 멜라토닌이라는 성분이 도움을 줄 수 있다고 합니다.
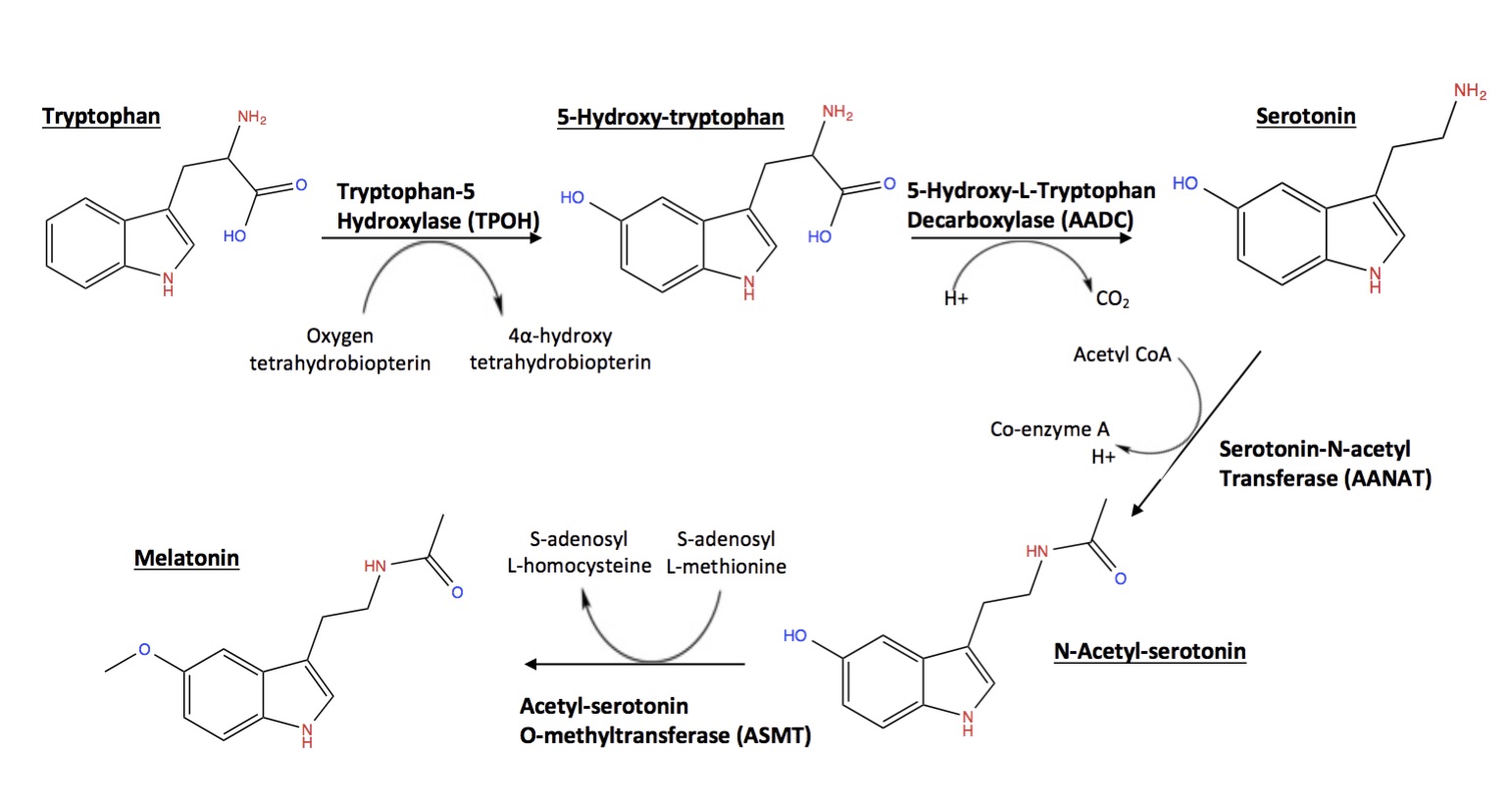
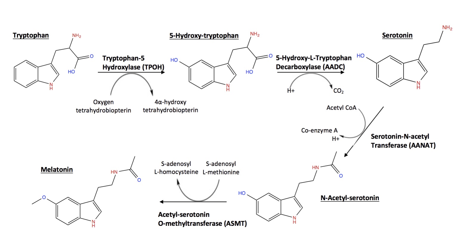
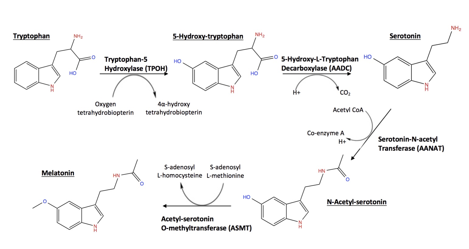
멜라토닌은 빛의 변화에 반응하여 신체에서 자연적으로 생성되는 호르몬입니다. 그것은 주로 신체의 수면-각성 주기 조절과 관련이 있습니다. 멜라토닌이란 밤의 호르몬이라고 불리며 어두워지는 밤이 찾아오면 뇌에서 분비되는 생체 호르몬을 의미합니다. 해가 지면 빛의 양이 감소하여 멜라토닌의 분비량이 증가하고 해가 뜨면 분비량이 감소합니다.
멜라토닌은 신체가 빛의 양을 인지하여 현재 시간이 낮인지 밤인지를 구분하는 역할을 담당합니다. 이에 맞춰 수면과 활동을 하는 생체 주기를 교대로 조절하기도 합니다. 멜라토닌은 하루의 주기 뿐만 아니라 계절의 주기도 인지하여 여름에는 분비량이 감소하고 겨울에는 분비량이 증가하는 특징이 있습니다.





합성 멜라토닌 보충제는 불면증과 같이 수면에 어려움을 겪는 질환을 치료하는데 활용됩니다. 임상연구에 따르면 불면증을 겪는 노인이 취침 전에 멜라토닌을 복용했더니 잠드는 시간이 단축됐다고 합니다. 뿐만 아니라 수면의 지속시간도 증가하여 양질의 수면을 위한 호르몬으로 인정받고 있습니다.
멜라토닌 효능
멜라토닌 효능 1. 수면주기 단축
멜라토닌의 생성과 분비 지연으로 쉽게 잠들지 못하는 환자들의 수면 장애 치료 도구로도 멜라토닌은 활용됩니다. 멜라토닌은 수면 잠복기를 단축시켜 금방 잠이 들수 있게 하며 길게 지속적으로 잘 수 있도록 돕는 등 수면과 각성의 리듬을 조절하는 작용을 합니다. 수면은 심신의 건강상태를 뚜렷이 보여주는 지표입니다. 많은 질병이 증상이 악화됨에 따라 수면장애가 심해지기 때문에 수면은 증상 악화와 개선의 지표로서 중요한 의미를 지닙니다.



멜라토닌 효능 2. 항산화 효과
멜라토닌은 신체의 산화를 억제하는 강력한 항산화 작용을 합니다. 멜라토닌은 신체를 산화시켜 노화를 촉진하는 활성산소를 처리하여 항노화(안티에이징) 효과를 얻을 수 있습니다. 수면 부족이나 불규칙한 생활리듬으로 인해 멜라토닌의 분비가 줄어들면 피부가 안 좋아지는 등의 변화가 눈에 띄게 됩니다.
또한 활성산소는 동맥경화의 원인으로도 알려져 있습니다. 멜라토닌은 동맥경화로 인한 심근경색과 뇌졸중을 예방할 수 있습니다. 뿐만 아니라 멜라토닌은 다양한 연구에서 종양 증식 억제, 혈관 신생 억제, DNA 복구 등 항종양 효과가 있는 것으로 보고되고 있습니다.



멜라토닌 효능 3. 두통 증상 완화
멜라토닌은 편두통 증상 완화에도 큰 도움이 됩니다. 3개월간 매일 멜라토닌을 복용한 환자가 두통의 발생 횟수가 감소하였다고 합니다. 비슷한 효과를 일으키는 항우울제를 복용했을 때 두통은 개선됐지만 체중이 증가하는 부작용이 함께 나타났다고 합니다.
멜라토닌 복용 방법
멜라토닌은 수용성과 지용성을 함께 띄기 때문에 식사와 무관하게 복용해도 좋습니다. 멜라토닌은 간의 대사를 거치며 15%가 혈액으로 흡수되어 순환됩니다. 일반적인 캡슐의 경우 취침 전 30분에서 1시간 전에 복용하시는 것을 권장합니다. 액체 제형의 멜라토닌은 취침 20분 전에 복용하여도 충분히 효과를 볼 수 있습니다.
씹는 제형의 멜라토닌은 당 성분이 포함되어 끈적거리기 때문에 복용 후에 양치질을 해야하는 단점이 있습니다. 불면증의 정도가 심할 경우에는 반드시 병원을 방문하여 전문가와 상담을 한 후에 멜라토닌의 복용 양과 시간을 정하는 것이 좋습니다.
멜라토닌 보충제를 먹기도 하지만 일상생활에서 음식으로도 보충해 줄 수 있습니다.
멜라토닌은 호르몬 성분으로 대체로 식품에는 함유되어 있지 않지만 소량 함유하고 있는 식품들이 있습니다.



멜라토닌 많은 음식
1. 타트 체리: 타르트 체리는 최고의 멜라토닌 식이 공급원 중 하나입니다. 그들은 높은 수준의 호르몬을 함유하고 있으며 타르트 체리 주스를 마시거나 말린 타르트 체리를 먹으면 신체의 멜라토닌 수치를 높이는 데 도움이 될 수 있습니다.
2. 토마토: 토마토에는 소량의 멜라토닌이 포함되어 있지만 멜라토닌의 종류, 성숙도 및 재배 조건에 따라 그 수치는 크게 다릅니다.
3. 호두: 호두에는 멜라토닌과 기타 수면 성분이 들어 있습니다. -마그네슘 및 트립토판과 같은 촉진 화합물.
4. 쌀: 쌀, 특히 자스민 쌀과 바스마티 쌀에는 소량의 멜라토닌이 함유되어 있습니다.
5. 소유: 소유에는 소량의 멜라토닌이 포함되어 있지만 우유의 멜라토닌이 뇌와 혈류를 분리하는 막인 혈뇌 장벽을 통과할 수 있는지는 확실하지 않습니다.





멜라토닌 부작용
멜라토닌은 일반적으로 대부분의 사람들에게 안전한 것으로 간주되지만 다른 보충제나 약물과 마찬가지로 일부 사람들에게는 부작용을 일으킬 수 있습니다. 멜라토닌의 일반적인 부작용은 다음과 같습니다.
- 메스꺼움: 멜라토닌은 일부 사람들에게 메스꺼움을 유발할 수 있습니다.
- 졸음: 멜라토닌은 종종 수면을 촉진하는 데 사용되므로 졸음은 일반적인 부작용입니다.
- 우울증: 드물게 멜라토닌이 우울증 증상을 유발하거나 악화시킬 수 있습니다.
- 호르몬 불균형: 멜라토닌을 장기간 사용하면 신체의 자연적인 멜라토닌 및 기타 호르몬 생성을 방해할 수 있습니다.
- 현기증: 일부 사람들은 멜라토닌을 복용한 후 현기증을 느낄 수 있습니다.
- 두통: 일부 사람들은 멜라토닌을 복용한 후 두통을 경험할 수 있습니다.
- 과민성: 멜라토닌은 일부 사람들에게 과민성을 유발할 수 있습니다.
- 혼돈: 멜라토닌을 복용한 후 혼란을 느끼는 사람이 있을 수 있습니다.



지금까지 멜라토닌 효능 부작용 많이든 음식에 대해 알아보았습니다.
수면이 건강과 삶의 질에 상당한 영향을 끼치는 만큼 멜라토닌과 이 정보가 도움이 되면 좋겠습니다.
2023.02.03 - [행복한 여행] - 2월 가볼만한 곳 베스트 10 추천
2월 가볼만한 곳 베스트 10 추천
2023년도 1월이 지나고 벌써 2월로 접어들었습니다. 이제 겨울도 얼마 남지 않았다는 것이 실감이 나는데요. 지난주 엄청난 한파도 지나갔고 이제 겨울의 끝자락 2월에 좀 더 추억거리 쌓을 수 있
blkkong.arriblog.com
2023.02.02 - [분류 전체보기] - 포항 가볼만한 곳 베스트 10 알아두기
포항 가볼만한 곳 베스트 10 알아두기
지난주 엄청난 한파가 지나간 뒤로 조금씩 날씨가 풀리려는지 며칠 제법 포근하다 싶게 지나가고 있습니다. 주말에는 날씨도 맑고 좋다 하니 집에서 움츠리고만 있지 말고 가족, 연인들과 주말
blkkong.arriblog.com
2023.01.09 - [건강상식] - 맥주효모의 효능 부작용 총정리
맥주효모의 효능 부작용 총정리
최근 맥주를 제조하는데 필요한 성분인 맥주효모가 탈모에 좋다는 얘기를 많이 듣습니다. 그래서 탈모로 고민이 많은 사람들에게 맥주효모가 큰 인기를 얻고 있습니다. 탈모뿐 아니라 건강에
blkkong.arriblog.com
'건강상식' 카테고리의 다른 글
| 공진단 효능 알고 드세요 (0) | 2023.02.20 |
|---|---|
| 캐모마일차 효능 부작용 총정리 (0) | 2023.02.11 |
| 차전자피 효능 알아두기 (0) | 2023.02.04 |
| 감태 효능 총정리 (0) | 2023.02.04 |
| 차가버섯 효능 부작용 총정리 (0) | 2023.02.03 |
댓글